Inverse Cosh: Definition, Formula, And Examples

P.Dailyhealthcures 24 views
Inverse Cosh: Definition, Formula, And Examples

Inverse Cosh: Definition, Formula, and Examples

Hey guys! Today, we’re diving deep into the world of hyperbolic functions, specifically focusing on the inverse hyperbolic cosine, often called inverse cosh . If you’ve ever wondered what it is, how to calculate it, and where it’s used, you’re in the right place. Let’s break it down in a way that’s easy to understand and super useful.

Understanding Inverse Cosh

So, what exactly is inverse cosh ? Well, to get a grip on it, we first need to understand what hyperbolic cosine (cosh) is. The hyperbolic cosine function, denoted as cosh(x), is defined as (e^x + e^(-x))/2. It’s one of the hyperbolic functions that pop up quite often in various areas of math and physics.

Now, inverse cosh , written as cosh⁻¹(x) or arcosh(x), is the inverse function of cosh(x). Basically, if cosh(y) = x, then cosh⁻¹(x) = y. Think of it like this: the regular cosine function has an inverse cosine (arccos or cos⁻¹), and hyperbolic cosine has its own inverse as well. The inverse cosh function answers the question: “What input to the cosh function gives me this output?”

However, there’s a little catch. The cosh(x) function isn’t one-to-one over its entire domain (meaning it doesn’t pass the horizontal line test). To define an inverse, we usually restrict the domain of cosh(x) to x ≥ 0. This ensures that the inverse cosh function is well-defined and single-valued. So, when we talk about cosh⁻¹(x), we generally assume that x is greater than or equal to 1 because the range of cosh(x) for x ≥ 0 is [1, ∞).

Why is Inverse Cosh Important?

You might be wondering, “Why should I even care about inverse cosh ?” Well, it shows up in several unexpected places. For example, it’s used in calculating the sag of a hanging cable or chain, like power lines or suspension bridge cables. These catenary curves are described using hyperbolic functions, and when you need to find certain parameters related to the curve, inverse cosh becomes your best friend. Moreover, it appears in physics problems involving special relativity and various engineering applications. So, understanding inverse cosh isn’t just an academic exercise; it’s a practical tool in many fields.

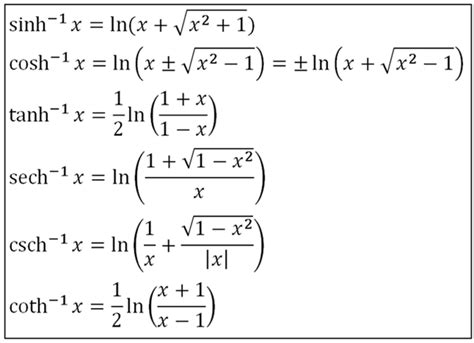
The Formula for Inverse Cosh

Alright, now that we know what inverse cosh is, let’s get to the nitty-gritty: the formula. The inverse cosh function can be expressed in terms of the natural logarithm. Here’s the formula:

cosh⁻¹(x) = ln(x + √(x² - 1))

Where:

  • x ≥ 1 (because the domain of inverse cosh is [1, ∞))
  • ln is the natural logarithm

Derivation of the Formula

Curious about where this formula comes from? Let’s quickly derive it. We start with the definition:

y = cosh⁻¹(x)

This means:

x = cosh(y) = (e^y + e^(-y))/2

Multiply both sides by 2:

2x = e^y + e^(-y)

Now, multiply through by e^y to get rid of the negative exponent:

2x * e^y = (e^y)² + 1

Rearrange this into a quadratic equation in terms of e^y:

(e^y)² - 2x * e^y + 1 = 0

Let u = e^y. Then the equation becomes:

u² - 2xu + 1 = 0

We can solve this quadratic equation for u using the quadratic formula:

u = (2x ± √(4x² - 4)) / 2

Simplify:

u = x ± √(x² - 1)

Since y = cosh⁻¹(x) is defined for y ≥ 0, we need e^y to be positive. Also, because x ≥ 1, √(x² - 1) is a real number. We take the positive root to ensure e^y is positive:

e^y = x + √(x² - 1)

Finally, take the natural logarithm of both sides to solve for y:

y = ln(x + √(x² - 1))

Thus, we arrive at the formula:

cosh⁻¹(x) = ln(x + √(x² - 1))

Practical Application of the Formula

Using this formula is pretty straightforward. Just plug in the value of x (which must be greater than or equal to 1) and calculate the result. For example, if you want to find cosh⁻¹(2), you would calculate:

cosh⁻¹(2) = ln(2 + √(2² - 1)) = ln(2 + √3) ≈ 1.31695789692

Examples of Calculating Inverse Cosh

Let’s walk through a few examples to make sure you’ve got the hang of it. These examples should clarify how to use the formula and what to watch out for.

Example 1: Finding cosh⁻¹(1)

Calculate inverse cosh of 1.

Solution:

Using the formula:

cosh⁻¹(x) = ln(x + √(x² - 1))

Plug in x = 1:

cosh⁻¹(1) = ln(1 + √(1² - 1)) = ln(1 + √0) = ln(1) = 0

So, cosh⁻¹(1) = 0. This makes sense because cosh(0) = 1.

Example 2: Finding cosh⁻¹(5)

Calculate inverse cosh of 5.

Solution:

Using the formula:

cosh⁻¹(x) = ln(x + √(x² - 1))

Plug in x = 5:

cosh⁻¹(5) = ln(5 + √(5² - 1)) = ln(5 + √24) = ln(5 + 2√6) ≈ 2.2924

So, cosh⁻¹(5) ≈ 2.2924.

Example 3: Real-World Application

Imagine you’re designing a suspension bridge, and you need to calculate the sag of the cable. The sag (y) at a point can be described by:

y = a * cosh(x/a)

Where:

  • a is a constant related to the cable’s properties.
  • x is the horizontal distance from the center of the cable.

Suppose you know that y = 20 meters at x = 15 meters, and a = 10 meters. To find the inverse cosh , we rearrange the equation:

cosh(x/a) = y/a

cosh( 15 10 ) = 20 10

cosh(1.5) = 2

Now, to find the value, you would use inverse cosh :

  1. 5 = cosh⁻¹(2)

Using the formula:

cosh⁻¹(2) = ln(2 + √(2² - 1)) = ln(2 + √3) ≈ 1.31695789692

Properties of Inverse Cosh

Understanding the properties of inverse cosh can help you simplify expressions and solve problems more efficiently. Here are a few key properties:

  1. Domain and Range : The domain of cosh⁻¹(x) is [1, ∞), and the range is [0, ∞). This means you can only input values greater than or equal to 1, and the output will always be a non-negative real number.

  2. Symmetry : Inverse cosh is an even function, meaning cosh⁻¹(x) = cosh⁻¹(-x) for x ≥ 1. However, since the domain is [1, ∞), we generally only consider positive values.

  3. Derivative : The derivative of cosh⁻¹(x) is:

    d/dx [cosh⁻¹(x)] = 1 / √(x² - 1) for x > 1

  4. Integral : The integral of cosh⁻¹(x) is:

    ∫ cosh⁻¹(x) dx = x * cosh⁻¹(x) - √(x² - 1) + C, where C is the constant of integration.

Common Mistakes to Avoid

When working with inverse cosh , it’s easy to make a few common mistakes. Here’s what to watch out for:

  • Forgetting the Domain : Always remember that the input to cosh⁻¹(x) must be greater than or equal to 1. Plugging in a value less than 1 will result in an error.
  • Incorrectly Applying the Formula : Make sure you’re using the correct formula: cosh⁻¹(x) = ln(x + √(x² - 1)). It’s easy to mix up the plus and minus signs or forget the square root.
  • Confusing with Regular Inverse Cosine : Inverse cosh is not the same as the inverse cosine (arccos or cos⁻¹). They are entirely different functions, so be careful not to mix them up.
  • Ignoring the Range : The output of inverse cosh is always non-negative. If you get a negative result, double-check your calculations.

Conclusion

So, there you have it! Inverse cosh , or cosh⁻¹(x), is the inverse of the hyperbolic cosine function and is defined as cosh⁻¹(x) = ln(x + √(x² - 1)) for x ≥ 1. It’s a handy function that pops up in various areas of math, physics, and engineering, especially when dealing with catenary curves and other hyperbolic scenarios. By understanding its definition, formula, properties, and common pitfalls, you’ll be well-equipped to tackle any problem involving inverse cosh . Keep practicing, and you’ll master it in no time!